GLM I: Continuous/Numerical Predictors

Princeton University

Jason Geller, PH.D.(he/him)

2023-10-11

Packages

library(grateful)
pkgs <- cite_packages(output = "table", out.dir = ".")

pkgs
          Package    Version                                       Citation
1            base      4.2.2                                          @base
2     correlation      0.8.4                                              @
3       easystats    0.6.0.8                                     @easystats
4             emo 0.0.0.9000                                           @emo
5    equatiomatic      0.3.1                                  @equatiomatic
6           flair      0.0.2                                         @flair
7          GGally      2.1.2                                        @GGally
8       gganimate      1.0.8                                     @gganimate
9         ggpmisc      0.5.0                                       @ggpmisc
10    ggstatsplot      0.9.4                                   @ggstatsplot
11       huxtable      5.5.0                                      @huxtable
12     kableExtra      1.3.4                                    @kableExtra
13          knitr       1.41             @knitr2014; @knitr2015; @knitr2022
14         pacman      0.5.1                                        @pacman
15         papaja 0.1.1.9001                                        @papaja
16     parameters   0.21.1.2                                    @parameters
17      patchwork      1.1.2                                     @patchwork
18    performance   0.10.4.1                                   @performance
19          ppcor        1.1                                         @ppcor
20            pwr      1.3.0                                           @pwr
21         report    0.5.7.9                                        @report
22      rmarkdown       2.14 @rmarkdown2018; @rmarkdown2020; @rmarkdown2022
23            see    0.8.0.2                                           @see
24          skimr      2.1.4                                         @skimr
25      supernova      2.5.6                                     @supernova
26      tidyverse      1.3.2                                     @tidyverse
27       xaringan       0.26                                      @xaringan
28  xaringanExtra      0.7.0                                 @xaringanExtra
29 xaringanthemer      0.4.1                                @xaringanthemer

Github

Overview

  • Intro to GLM/Regression analysis

    • Why regression?

    • How does it work?

    • Drawing lines

    • Error and more error

  • Regression analysis in R

    • Fitting and interpreting a simple model

    • Sums of squares

    • Model fit and \(R^2\)

    • Testing assumptions

Purposes of Regression

  • Prediction

    • Useful if we want to forecast the future

    • Focus is on predicting future values of \(Y\)

      • Netflix trying to guess your next show

      • Predicting who will enroll in SNAP

  • Explanation

    • Here we want to explain relationship of variables

    • Focus is on the effect of \(X\) on \(Y\)

      • Estimating the effect of fluency on test performance

How does regression work?

  • Assume \(X\) and \(Y\) are both theoretically continuous quantities

    • Make a scatter plot of the relationship between \(X\) and \(Y\)
  • Draw a line to approximate the relationship between \(X\) and \(Y\)

    • And that could plausibly work for data not in the sample

    • Find the mathy parts of the line and then interpret the math

Lines, Math, and Regression

Components of Regression

\[ {y_i} = \beta_0 + \beta_1{X_i} +{\varepsilon_i} \]

\[ {y_i} = b_0 + b_1{X_i} + e \]

  • What we’ve been referring to thus far as \({Y}\)

    • The outcome variable, response variable, or dependent variable

    • The outcome is the thing we are trying to explain or predict

  • What we’ve been referring to thus far as \({X}\)

  • The explanatory variables, predictor variables, or independent variables

    • Explanatory variables are things we use to explain or predict variation in \(Y\)

Drawing Lines with Math

  • Remember \(y = mx + b\) from high school algebra

\[ {y_i} = \beta_0 + \beta_1{X_i} +{\varepsilon_i} \]

\[ {y_i} = b_0 + b_1{X_i} + e \]

  • \(y_i\) is the expected response for the \(i^{th}\) observation

  • \(b_0\) is the intercept, typically the expected value of \(y\) when \(x = 0\)

  • \(b_1\) is the slope coefficient, the average increase in \(y\) for each one unit increase in \(x\)

  • \(e_i\) is a random noise term

Slopes and Intercepts

  • The intercept \(b_0\) captures the baseline value

    • Point at which the regression line crosses the Y-axis
  • The slope \(b_1\) captures the rate of linear change in \(y\) as \(x\) increases

    • Tells us how much we would expect y to change given a one-unit change in x

The Best Fit Line and Least Squares

  • Many lines could fit the data, but which is best?

    • The best fitting line is one that produces the “least squares”, or minimizes the squared difference between X and Y
  • We use a method known as least squares to obtain estimates of \(b_0\) and \(b_1\)

Gauss-Markov and Linear Regression

  • The Gauss-Markov theorem states that if a series of assumptions hold, ordinary least squares is the the best linear unbiased estimator (BLUE)

    • Best : smallest variance

    • Linear : linear observed output variables

    • Unbiased: unbiased

    • Estimator

Error

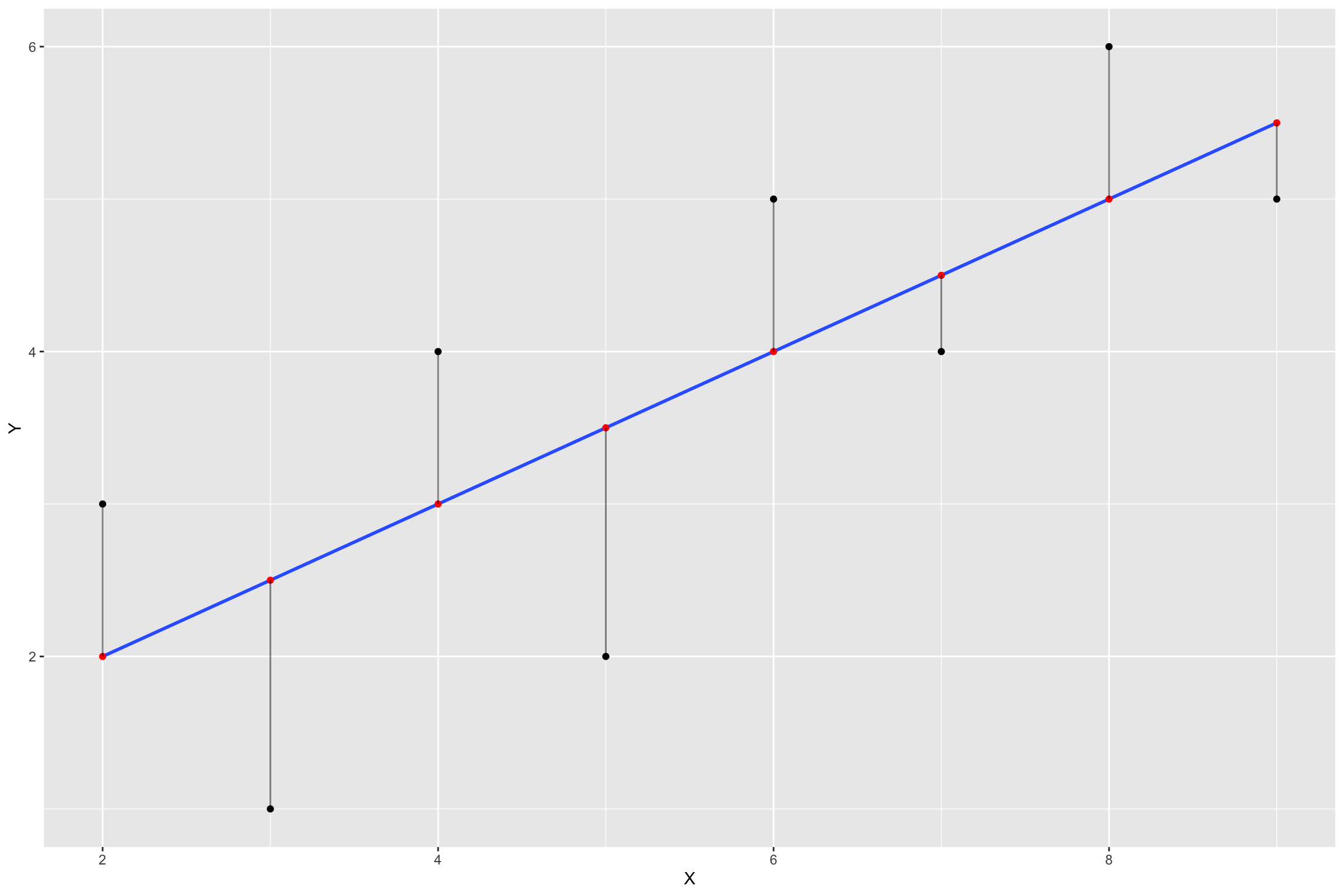
Visualize Errors as Squares

Best fit line

  • Shows two concepts:

    1. Regression line is “best fit line”

    2. The “best fit line” is the one that minimizes the sum of the squared deviations between each point and the line

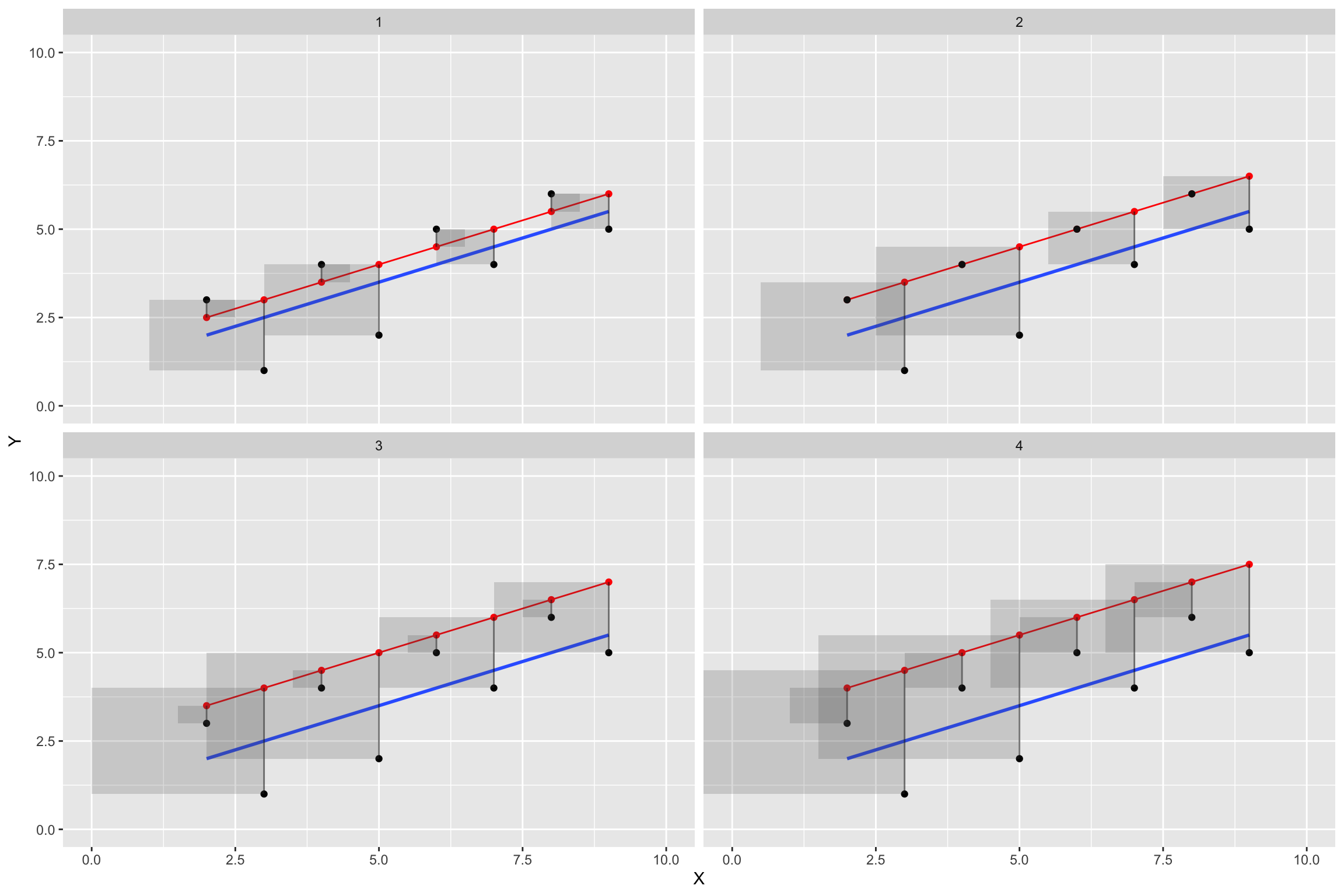
Worse Fit Lines

Simple Regression Example

  • Depression scores and meaningfulness (in one’s life)
master <- read.csv("https://raw.githubusercontent.com/jgeller112/psy503-psych_stats/master/static/slides/10-linear_modeling/data/regress.csv")

Simple Regression Example

lm() in R

model1 <-lm(CESD_total~PIL_total, data=master)

The Relation Between Correlation and Regression

\[\hat{r} = \frac{covariance_{xy}}{s_x * s_y}\]

\[\hat{\beta_x} = \frac{\hat{r} * s_x * s_y}{s_x} = r * \frac{s_y}{s_x}\]

\[\hat{\beta_0} = \bar{y} - \hat{\beta_x}\]

lm() in R

  • How would we interpret \(b_0\)?

    • \(b_0\): When x = 0, the b_0 = 56.39

      # A tibble: 2 × 5
        term        estimate std.error statistic  p.value
        <chr>          <dbl>     <dbl>     <dbl>    <dbl>
      1 (Intercept)   56.4      3.75        15.0 2.43e-37
      2 PIL_total     -0.390    0.0336     -11.6 1.95e-25

lm() in R

  • How would we interpret \(b_1\)?

    • \(b_1\): for one-unit increase in meaning, there is a -0.39 decrease in depression scores

      # A tibble: 2 × 5
        term        estimate std.error statistic  p.value
        <chr>          <dbl>     <dbl>     <dbl>    <dbl>
      1 (Intercept)   56.4      3.75        15.0 2.43e-37
      2 PIL_total     -0.390    0.0336     -11.6 1.95e-25

lm() in R

\[\hat{CESD_{total}} = 56 + (-.39)*PIL_{total}\]

lm() in R

\[ \hat{CESD_{total}} = 56 + (-.39)*60\]

Predictions

  • predict (object, newdata)

    • object = model

    • newdata = values to predict

#create a dataframe with value you want to predict
meaning <- data.frame(PIL_total = c(20,60, 80, 90, 100))

predict(model1, meaning)
       1        2        3        4        5 
48.58976 32.97821 25.17243 21.26954 17.36665 

Residuals, Fitted Values, and Model Fit




  • If we want to make inferences about the regression parameter estimates, then we also need an estimate of their variability
  • We also need to know how well are data fits the linear model

SS Unexplained (Sums of Squares Error)

\[residual = y - \hat{y} = y - (x*\hat{\beta_x} + \hat{\beta_0})\]

\[SS_{error} = \sum_{i=1}^n{(y_i - \hat{y_i})^2} = \sum_{i=1}^n{residuals^2}\]

SS Total (Sums of Squares Total)

Squared differences between the observed dependent variable and its mean.

\[SS_{total} = \sum{(y_i - \bar{y})^2}\]

SS Explained (Sums of Squares Regression)

The sum of the differences between the predicted value and the mean of the dependent variable

\[SS_{Explained} = \sum (\hat{y_i} - \bar{y})^2\]

All Together

broom Regression

  • tidy(): coefficient table
  • glance(): model summary
  • augment(): adds information about each observation
library(broom)

Regression: NHST

\[H_0\colon \ \beta_1=0\] \[H_1\colon \ \beta_1\ne0\]

\[\begin{array}{c} t_{N - p} = \frac{\hat{\beta} - \beta_{expected}}{SE_{\hat{\beta}}}\\ t_{N - p} = \frac{\hat{\beta} - 0}{SE_{\hat{\beta}}}\\ t_{N - p} = \frac{\hat{\beta} }{SE_{\hat{\beta}}} \end{array}\]

# A tibble: 2 × 5
  term        estimate std.error statistic  p.value
  <chr>          <dbl>     <dbl>     <dbl>    <dbl>
1 (Intercept)   56.4      3.75        15.0 2.43e-37
2 PIL_total     -0.390    0.0336     -11.6 1.95e-25
[1] 1.96899

Calculate Standard Error

\[MS_{error} = \frac{SS_{error}}{df} = \frac{\sum_{i=1}^n{(y_i - \hat{y_i})^2} }{N - p}\]

\[ SE_{model} = \sqrt{MS_{error}} \]

\[SE_{\hat{\beta}_x} = \frac{SE_{model}}{\sqrt{{\sum{(x_i - \bar{x})^2}}}}\]

#get mse with performance
mse=performance_mse(model1)
#sqrt
SE<-sqrt(mse)
#
x_de<- sum((master$PIL_total - mean(master$PIL_total))^2)

x_sqrt <- sqrt(x_de)

SE <- SE/x_sqrt

SE
[1] 0.03351633

95% CIs

\[b_1 \pm t^\ast (SE_{b_1})\]

term estimate std.error statistic p.value conf.low conf.high
(Intercept) 56.3955372 3.7525824 15.02846 0 49.0068665 63.7842079
PIL_total -0.3902889 0.0336426 -11.60104 0 -0.4565296 -0.3240481
result <- model_parameters(model1) 
plot(result) + theme_minimal(base_size=16)

Getting Residuals and Predicted Values

assump=augment(model1)# residuals and fitted values

head(assump) %>%
  knitr::kable()
CESD_total PIL_total .fitted .resid .hat .sigma .cooksd .std.resid
28 121 9.170584 18.829416 0.0057970 7.602150 0.0176455 2.4601796
37 76 26.733583 10.266417 0.0268288 7.663762 0.0253376 1.3557879
20 98 18.147228 1.852772 0.0068267 7.689629 0.0002016 0.2422016
15 122 8.780295 6.219705 0.0062133 7.680888 0.0020653 0.8128131
7 99 17.756939 -10.756939 0.0063593 7.661748 0.0063246 -1.4058582
7 134 4.096829 2.903171 0.0142050 7.688375 0.0010455 0.3809315

Model Fit

assump1=glance(model1) #model fit indices

assump1 %>%
  knitr::kable()
r.squared adj.r.squared sigma statistic p.value df logLik AIC BIC deviance df.residual nobs
0.3368106 0.334308 7.675957 134.5842 0 1 -922.0236 1850.047 1860.809 15613.88 265 267

Fitted line with 95% CIs

# get cis for fitted values

model1 %>%
  augment(se_fit = TRUE, interval = "confidence") %>%
  knitr::kable()
CESD_total PIL_total .fitted .lower .upper .se.fit .resid .hat .sigma .cooksd .std.resid
28.0 121.0000 9.170584 8.0198612 10.321307 0.5844329 18.8294160 0.0057970 7.602150 0.0176455 2.4601796
37.0 76.0000 26.733583 24.2580456 29.209121 1.2572841 10.2664169 0.0268288 7.663762 0.0253376 1.3557879
20.0 98.0000 18.147228 16.8984852 19.395971 0.6342156 1.8527720 0.0068267 7.689629 0.0002016 0.2422016
15.0 122.0000 8.780295 7.5889743 9.971616 0.6050519 6.2197049 0.0062133 7.680888 0.0020653 0.8128131
7.0 99.0000 17.756939 16.5517004 18.962178 0.6121206 -10.7569391 0.0063593 7.661748 0.0063246 -1.4058582
7.0 134.0000 4.096829 2.2955143 5.898143 0.9148575 2.9031713 0.0142050 7.688375 0.0010455 0.3809315
27.0 102.0000 16.586073 15.4975049 17.674640 0.5528653 10.4139275 0.0051877 7.663586 0.0048242 1.3602272
10.0 124.0000 7.999717 6.7207582 9.278676 0.6495620 2.0002826 0.0071610 7.689488 0.0002467 0.2615288
9.0 126.0000 7.219140 5.8453381 8.592941 0.6977308 1.7808604 0.0082625 7.689693 0.0002261 0.2329695
8.0 112.0000 12.683184 11.7540290 13.612339 0.4719022 -4.6831838 0.0037795 7.685057 0.0007088 -0.6112670
3.0 110.0000 13.463762 12.5377737 14.389749 0.4702938 -10.4637615 0.0037538 7.663367 0.0035142 -1.3657524
7.0 105.0000 15.415206 14.4170377 16.413374 0.5069529 -8.4152059 0.0043618 7.672944 0.0026442 -1.0987059
15.0 107.0000 14.634628 13.6783551 15.590901 0.4856751 0.3653718 0.0040034 7.690448 0.0000046 0.0476951
12.0 98.0000 18.147228 16.8984852 19.395971 0.6342156 -6.1472280 0.0068267 7.681105 0.0022193 -0.8035896
5.0 124.0000 7.999717 6.7207582 9.278676 0.6495620 -2.9997174 0.0071610 7.688248 0.0005547 -0.3922008
18.5 88.0000 22.050117 20.2867099 23.813523 0.8956048 -3.5501167 0.0136134 7.687333 0.0014965 -0.4656789
7.0 103.0000 16.195784 15.1406420 17.250925 0.5358888 -9.1957836 0.0048740 7.669525 0.0035319 -1.2009286
7.0 116.0000 11.122028 10.1318833 12.112173 0.5028781 -4.1220283 0.0042920 7.686277 0.0006242 -0.5381613
7.0 128.0000 6.438562 4.9641036 7.913020 0.7488527 0.5614381 0.0095176 7.690402 0.0000260 0.0734930
9.0 109.0000 13.854050 12.9225573 14.785543 0.4730898 -4.8540504 0.0037986 7.684654 0.0007653 -0.6335752
11.0 108.0000 14.244339 13.3027019 15.185977 0.4782419 -3.2443393 0.0038818 7.687878 0.0003494 -0.4234853
11.0 109.0000 13.854050 12.9225573 14.785543 0.4730898 -2.8540504 0.0037986 7.688467 0.0002646 -0.3725251
18.0 85.0000 23.220983 21.2855757 25.156391 0.9829612 -5.2209833 0.0163986 7.683653 0.0039208 -0.6858201
0.0 136.0000 3.316251 1.4000461 5.232456 0.9732084 -3.3162509 0.0160748 7.687728 0.0015496 -0.4355458
27.0 90.0000 21.269539 19.6174647 22.921613 0.8390609 5.7304611 0.0119487 7.682291 0.0034107 0.7510473
23.0 94.0000 19.708384 18.2681930 21.148574 0.7314487 3.2916165 0.0090804 7.687787 0.0008503 0.4307820
3.0 110.0000 13.463762 12.5377737 14.389749 0.4702938 -10.4637615 0.0037538 7.663367 0.0035142 -1.3657524
8.5 104.0000 15.805495 14.7805831 16.830406 0.5205355 -7.3054948 0.0045987 7.677265 0.0021021 -0.9539333
14.0 104.0000 15.805495 14.7805831 16.830406 0.5205355 -1.8054948 0.0045987 7.689674 0.0001284 -0.2357570
5.0 108.0000 14.244339 13.3027019 15.185977 0.4782419 -9.2443393 0.0038818 7.669324 0.0028370 -1.2066683
7.0 106.0000 15.024917 14.0497190 16.000115 0.4952868 -8.0249170 0.0041634 7.674538 0.0022943 -1.0476446
8.0 118.0000 10.341451 9.2966681 11.386233 0.5306276 -2.3414506 0.0047788 7.689124 0.0002245 -0.3057684
10.0 113.0000 12.292895 11.3551157 13.230674 0.4762824 -2.2928949 0.0038500 7.689181 0.0001731 -0.2992880
9.0 81.0000 24.782139 22.6102899 26.953988 1.1030457 -15.7821388 0.0206501 7.627590 0.0455075 -2.0776118
5.0 96.0000 18.927806 17.5864623 20.269149 0.6812459 -13.9278057 0.0078767 7.642177 0.0131729 -1.8216601
24.0 119.0000 9.951162 8.8739776 11.028346 0.5470838 14.0488383 0.0050798 7.641470 0.0085951 1.8349058
10.0 107.0000 14.634628 13.6783551 15.590901 0.4856751 -4.6346282 0.0040034 7.685168 0.0007356 -0.6049973
21.0 112.0000 12.683184 11.7540290 13.612339 0.4719022 8.3168162 0.0037795 7.673363 0.0022354 1.0855426
14.0 95.0000 19.318095 17.9280271 20.708162 0.7059920 -5.3180946 0.0084593 7.683453 0.0020651 -0.6957741
4.0 116.0000 11.122028 10.1318833 12.112173 0.5028781 -7.1220283 0.0042920 7.677925 0.0018634 -0.9298335
17.0 84.0000 23.611272 21.6174266 25.605118 1.0126409 -6.6112721 0.0174039 7.679518 0.0066861 -0.8688904
6.0 114.0000 11.902606 10.9516557 12.853556 0.4829718 -5.9026061 0.0039589 7.681862 0.0011798 -0.7705000
6.0 98.0000 18.147228 16.8984852 19.395971 0.6342156 -12.1472280 0.0068267 7.653805 0.0086660 -1.5879329
5.0 108.0000 14.244339 13.3027019 15.185977 0.4782419 -9.2443393 0.0038818 7.669324 0.0028370 -1.2066683
11.0 127.0000 6.828851 5.4053723 8.252329 0.7229610 4.1711492 0.0088708 7.686156 0.0013333 0.5458309
7.0 96.0000 18.927806 17.5864623 20.269149 0.6812459 -11.9278057 0.0078767 7.655083 0.0096613 -1.5600740
17.0 104.0000 15.805495 14.7805831 16.830406 0.5205355 1.1945052 0.0045987 7.690128 0.0000562 0.1559755
7.0 112.0000 12.683184 11.7540290 13.612339 0.4719022 -5.6831838 0.0037795 7.682492 0.0010438 -0.7417908
11.0 106.0000 15.024917 14.0497190 16.000115 0.4952868 -4.0249170 0.0041634 7.686473 0.0005772 -0.5254488
37.0 108.0000 14.244339 13.3027019 15.185977 0.4782419 22.7556607 0.0038818 7.561376 0.0171907 2.9703081
30.0 88.0000 22.050117 20.2867099 23.813523 0.8956048 7.9498833 0.0136134 7.674685 0.0075041 1.0428088
20.0 115.0000 11.512317 10.5438343 12.480800 0.4918763 8.4876828 0.0041063 7.672645 0.0025311 1.1080264
8.0 118.0000 10.341451 9.2966681 11.386233 0.5306276 -2.3414506 0.0047788 7.689124 0.0002245 -0.3057684
16.0 111.0000 13.073473 12.1482682 13.998677 0.4698959 2.9265273 0.0037475 7.688363 0.0002744 0.3819754
6.0 102.0000 16.586073 15.4975049 17.674640 0.5528653 -10.5860725 0.0051877 7.662688 0.0049850 -1.3827121
10.0 105.0000 15.415206 14.4170377 16.413374 0.5069529 -5.4152059 0.0043618 7.683224 0.0010950 -0.7070200
6.0 109.0000 13.854050 12.9225573 14.785543 0.4730898 -7.8540504 0.0037986 7.675216 0.0020036 -1.0251504
7.0 111.0000 13.073473 12.1482682 13.998677 0.4698959 -6.0734727 0.0037475 7.681357 0.0011819 -0.7927201
7.0 110.0000 13.463762 12.5377737 14.389749 0.4702938 -6.4637615 0.0037538 7.680146 0.0013410 -0.8436639
15.0 88.0000 22.050117 20.2867099 23.813523 0.8956048 -7.0501167 0.0136134 7.678061 0.0059016 -0.9247838
15.0 95.0000 19.318095 17.9280271 20.708162 0.7059920 -4.3180946 0.0084593 7.685848 0.0013615 -0.5649427
14.0 92.0000 20.488961 18.9448765 22.033046 0.7842148 -6.4889612 0.0104377 7.679995 0.0038087 -0.8498085
9.0 111.0000 13.073473 12.1482682 13.998677 0.4698959 -4.0734727 0.0037475 7.686378 0.0005317 -0.5316766
12.0 110.0000 13.463762 12.5377737 14.389749 0.4702938 -1.4637615 0.0037538 7.689951 0.0000688 -0.1910533
8.0 114.0000 11.902606 10.9516557 12.853556 0.4829718 -3.9026061 0.0039589 7.686714 0.0005157 -0.5094289
44.0 67.0000 30.246183 27.2094744 33.282891 1.5422935 13.7538171 0.0403710 7.641780 0.0703742 1.8291067
36.0 103.0000 16.195784 15.1406420 17.250925 0.5358888 19.8042164 0.0048740 7.592798 0.0163813 2.5863429
30.0 105.0000 15.415206 14.4170377 16.413374 0.5069529 14.5847941 0.0043618 7.637684 0.0079428 1.9042196
39.0 69.0000 29.465605 26.5548035 32.376407 1.4783475 9.5343948 0.0370927 7.667196 0.0308610 1.2658096
26.0 124.0000 7.999717 6.7207582 9.278676 0.6495620 18.0002826 0.0071610 7.609687 0.0199748 2.3534632
37.0 68.0000 29.855894 26.8822104 32.829578 1.5102843 7.1441059 0.0387126 7.677394 0.0181446 0.9492678
13.0 99.0000 17.756939 16.5517004 18.962178 0.6121206 -4.7569391 0.0063593 7.684870 0.0012368 -0.6216993
32.0 107.0000 14.634628 13.6783551 15.590901 0.4856751 17.3653718 0.0040034 7.615553 0.0103272 2.2668493
34.0 92.0000 20.488961 18.9448765 22.033046 0.7842148 13.5110388 0.0104377 7.644915 0.0165121 1.7694352
7.0 117.0000 10.731739 9.7160668 11.747412 0.5158432 -3.7317395 0.0045162 7.687035 0.0005386 -0.4872611
27.0 103.0000 16.195784 15.1406420 17.250925 0.5358888 10.8042164 0.0048740 7.661538 0.0048755 1.4109828
2.0 111.0000 13.073473 12.1482682 13.998677 0.4698959 -11.0734727 0.0037475 7.660109 0.0039289 -1.4453286
22.0 122.0000 8.780295 7.5889743 9.971616 0.6050519 13.2197049 0.0062133 7.647051 0.0093300 1.7275978
23.0 60.0000 32.978205 29.4969773 36.459433 1.7680574 -9.9782050 0.0530552 7.664543 0.0499906 -1.3358496
17.0 118.0000 10.341451 9.2966681 11.386233 0.5306276 6.6585494 0.0047788 7.679502 0.0018153 0.8695355
16.0 124.0000 7.999717 6.7207582 9.278676 0.6495620 8.0002826 0.0071610 7.674588 0.0039458 1.0460042
7.0 110.0000 13.463762 12.5377737 14.389749 0.4702938 -6.4637615 0.0037538 7.680146 0.0013410 -0.8436639
15.0 121.0000 9.170584 8.0198612 10.321307 0.5844329 5.8294160 0.0057970 7.682059 0.0016913 0.7616492
1.0 138.0000 2.535673 0.5024366 4.568910 1.0326469 -1.5356732 0.0180983 7.689889 0.0003757 -0.2018981
29.0 81.0000 24.782139 22.6102899 26.953988 1.1030457 4.2178612 0.0206501 7.686006 0.0032504 0.5552529
2.0 120.0000 9.560873 8.4482829 10.673463 0.5650659 -7.5608728 0.0054192 7.676312 0.0026577 -0.9876871
28.0 89.0000 21.659828 19.9524648 23.367191 0.8671411 6.3401722 0.0127619 7.680447 0.0044666 0.8312996
3.0 122.0000 8.780295 7.5889743 9.971616 0.6050519 -5.7802951 0.0062133 7.682196 0.0017838 -0.7553894
16.0 92.0000 20.488961 18.9448765 22.033046 0.7842148 -4.4889612 0.0104377 7.685464 0.0018227 -0.5878842
18.0 125.0000 7.609428 6.2838548 8.935002 0.6732367 10.3905715 0.0076926 7.663639 0.0071575 1.3588884
17.0 104.0000 15.805495 14.7805831 16.830406 0.5205355 1.1945052 0.0045987 7.690128 0.0000562 0.1559755
11.0 127.0000 6.828851 5.4053723 8.252329 0.7229610 4.1711492 0.0088708 7.686156 0.0013333 0.5458309
5.0 135.0000 3.706540 1.8480728 5.565007 0.9438843 1.2934602 0.0151207 7.690062 0.0002213 0.1697966
26.0 96.0000 18.927806 17.5864623 20.269149 0.6812459 7.0721943 0.0078767 7.678055 0.0033964 0.9249938
6.0 125.0000 7.609428 6.2838548 8.935002 0.6732367 -1.6094285 0.0076926 7.689838 0.0001717 -0.2104825
8.0 136.0000 3.316251 1.4000461 5.232456 0.9732084 4.6837491 0.0160748 7.684988 0.0030911 0.6151486
24.0 92.0000 20.488961 18.9448765 22.033046 0.7842148 3.5110388 0.0104377 7.687412 0.0011151 0.4598133
12.0 108.0000 14.244339 13.3027019 15.185977 0.4782419 -2.2443393 0.0038818 7.689235 0.0001672 -0.2929548
3.0 132.0000 4.877406 3.1884041 6.566409 0.8578160 -1.8774064 0.0124889 7.689602 0.0003831 -0.2461245
1.0 127.0000 6.828851 5.4053723 8.252329 0.7229610 -5.8288508 0.0088708 7.682034 0.0026036 -0.7627554
23.0 110.0000 13.463762 12.5377737 14.389749 0.4702938 9.5362385 0.0037538 7.667968 0.0029188 1.2446902
24.0 107.0000 14.634628 13.6783551 15.590901 0.4856751 9.3653718 0.0040034 7.668763 0.0030038 1.2225414
4.0 124.0000 7.999717 6.7207582 9.278676 0.6495620 -3.9997174 0.0071610 7.686511 0.0009862 -0.5229467
25.0 101.0000 16.976361 15.8514566 18.101266 0.5713203 8.0236386 0.0055398 7.674521 0.0030603 1.0482024
2.0 121.0000 9.170584 8.0198612 10.321307 0.5844329 -7.1705840 0.0057970 7.677734 0.0025590 -0.9368811
2.0 122.0000 8.780295 7.5889743 9.971616 0.6050519 -6.7802951 0.0062133 7.679080 0.0024543 -0.8860730
5.0 134.0000 4.096829 2.2955143 5.898143 0.9148575 0.9031713 0.0142050 7.690277 0.0001012 0.1185071
25.0 110.0000 13.463762 12.5377737 14.389749 0.4702938 11.5362385 0.0037538 7.657512 0.0042714 1.5057344
9.0 106.0000 15.024917 14.0497190 16.000115 0.4952868 -6.0249170 0.0041634 7.681499 0.0012932 -0.7865467
4.0 119.0000 9.951162 8.8739776 11.028346 0.5470838 -5.9511617 0.0050798 7.681709 0.0015423 -0.7772757
4.0 119.0000 9.951162 8.8739776 11.028346 0.5470838 -5.9511617 0.0050798 7.681709 0.0015423 -0.7772757
17.0 94.0000 19.708384 18.2681930 21.148574 0.7314487 -2.7083835 0.0090804 7.688657 0.0005756 -0.3544528
3.0 123.0000 8.390006 7.1558657 9.624147 0.6267994 -5.3900062 0.0066679 7.683275 0.0016660 -0.7045463
7.0 126.0000 7.219140 5.8453381 8.592941 0.6977308 -0.2191396 0.0082625 7.690469 0.0000034 -0.0286675
4.0 130.0000 5.657984 4.0781656 7.237803 0.8023635 -1.6579842 0.0109264 7.689796 0.0002605 -0.2171869
4.0 123.0000 8.390006 7.1558657 9.624147 0.6267994 -4.3900062 0.0066679 7.685701 0.0011052 -0.5738328
5.0 113.0000 12.292895 11.3551157 13.230674 0.4762824 -7.2928949 0.0038500 7.677321 0.0017511 -0.9519301
5.0 116.0000 11.122028 10.1318833 12.112173 0.5028781 -6.1220283 0.0042920 7.681205 0.0013769 -0.7992761
5.0 111.0000 13.073473 12.1482682 13.998677 0.4698959 -8.0734727 0.0037475 7.674351 0.0020885 -1.0537635
4.0 119.0000 9.951162 8.8739776 11.028346 0.5470838 -5.9511617 0.0050798 7.681709 0.0015423 -0.7772757
5.0 131.0000 5.267695 3.6337155 6.901675 0.8298710 -0.2676953 0.0116884 7.690463 0.0000073 -0.0350801
5.0 120.0000 9.560873 8.4482829 10.673463 0.5650659 -4.5608728 0.0054192 7.685328 0.0009671 -0.5957930
15.0 133.0000 4.487118 2.7423129 6.231922 0.8861571 10.5128825 0.0133277 7.662845 0.0128398 1.3788050
5.0 108.0000 14.244339 13.3027019 15.185977 0.4782419 -9.2443393 0.0038818 7.669324 0.0028370 -1.2066683
5.0 117.0000 10.731739 9.7160668 11.747412 0.5158432 -5.7317395 0.0045162 7.682349 0.0012705 -0.7484052
5.0 118.0000 10.341451 9.2966681 11.386233 0.5306276 -5.3414506 0.0047788 7.683417 0.0011682 -0.6975364
5.0 112.0000 12.683184 11.7540290 13.612339 0.4719022 -7.6831838 0.0037795 7.675874 0.0019077 -1.0028385
19.0 98.0000 18.147228 16.8984852 19.395971 0.6342156 0.8527720 0.0068267 7.690300 0.0000427 0.1114777
8.0 129.0000 6.048273 4.5216627 7.574883 0.7753399 1.9517270 0.0102028 7.689533 0.0003366 0.2555721
8.0 121.0000 9.170584 8.0198612 10.321307 0.5844329 -1.1705840 0.0057970 7.690141 0.0000682 -0.1529440
12.0 115.0000 11.512317 10.5438343 12.480800 0.4918763 0.4876828 0.0041063 7.690422 0.0000084 0.0636647
6.0 111.0000 13.073473 12.1482682 13.998677 0.4698959 -7.0734727 0.0037475 7.678102 0.0016031 -0.9232418
6.0 130.0000 5.657984 4.0781656 7.237803 0.8023635 0.3420158 0.0109264 7.690452 0.0000111 0.0448022
10.0 99.0000 17.756939 16.5517004 18.962178 0.6121206 -7.7569391 0.0063593 7.675553 0.0032888 -1.0137787
11.0 122.0000 8.780295 7.5889743 9.971616 0.6050519 2.2197049 0.0062133 7.689260 0.0002630 0.2900789
20.0 106.0000 15.024917 14.0497190 16.000115 0.4952868 4.9750830 0.0041634 7.684357 0.0008818 0.6494920
11.0 120.0000 9.560873 8.4482829 10.673463 0.5650659 1.4391272 0.0054192 7.689968 0.0000963 0.1879951
7.0 115.0000 11.512317 10.5438343 12.480800 0.4918763 -4.5123172 0.0041063 7.685444 0.0007154 -0.5890615
7.0 119.0000 9.951162 8.8739776 11.028346 0.5470838 -2.9511617 0.0050798 7.688325 0.0003793 -0.3854485
12.0 105.0000 15.415206 14.4170377 16.413374 0.5069529 -3.4152059 0.0043618 7.687595 0.0004355 -0.4458960
8.0 127.0000 6.828851 5.4053723 8.252329 0.7229610 1.1711492 0.0088708 7.690140 0.0001051 0.1532550
8.0 108.0000 14.244339 13.3027019 15.185977 0.4782419 -6.2443393 0.0038818 7.680835 0.0012945 -0.8150768
15.0 123.0000 8.390006 7.1558657 9.624147 0.6267994 6.6099938 0.0066679 7.679641 0.0025056 0.8640151
8.0 126.0000 7.219140 5.8453381 8.592941 0.6977308 0.7808604 0.0082625 7.690329 0.0000435 0.1021510
9.0 119.0000 9.951162 8.8739776 11.028346 0.5470838 -0.9511617 0.0050798 7.690257 0.0000394 -0.1242304
9.0 117.0000 10.731739 9.7160668 11.747412 0.5158432 -1.7317395 0.0045162 7.689739 0.0001160 -0.2261169
14.0 126.0000 7.219140 5.8453381 8.592941 0.6977308 6.7808604 0.0082625 7.679054 0.0032779 0.8870619
14.0 125.0000 7.609428 6.2838548 8.935002 0.6732367 6.3905715 0.0076926 7.680339 0.0027075 0.8357648
17.0 99.0000 17.756939 16.5517004 18.962178 0.6121206 -0.7569391 0.0063593 7.690339 0.0000313 -0.0989268
13.0 94.0000 19.708384 18.2681930 21.148574 0.7314487 -6.7083835 0.0090804 7.679288 0.0035316 -0.8779426
11.0 116.0000 11.122028 10.1318833 12.112173 0.5028781 -0.1220283 0.0042920 7.690477 0.0000005 -0.0159317
18.0 113.0000 12.292895 11.3551157 13.230674 0.4762824 5.7071051 0.0038500 7.682424 0.0010724 0.7449395
11.0 117.0000 10.731739 9.7160668 11.747412 0.5158432 0.2682605 0.0045162 7.690463 0.0000028 0.0350273
16.0 98.0000 18.147228 16.8984852 19.395971 0.6342156 -2.1472280 0.0068267 7.689337 0.0002708 -0.2806940
10.0 114.0000 11.902606 10.9516557 12.853556 0.4829718 -1.9026061 0.0039589 7.689586 0.0001226 -0.2483578
16.5 97.0000 18.537517 17.2433404 19.831693 0.6572906 -2.0375168 0.0073325 7.689451 0.0002621 -0.2664200
12.0 109.0000 13.854050 12.9225573 14.785543 0.4730898 -1.8540504 0.0037986 7.689631 0.0001117 -0.2420000
15.0 98.0000 18.147228 16.8984852 19.395971 0.6342156 -3.1472280 0.0068267 7.688024 0.0005817 -0.4114179
11.0 124.0000 7.999717 6.7207582 9.278676 0.6495620 3.0002826 0.0071610 7.688248 0.0005549 0.3922747
13.0 109.0000 13.854050 12.9225573 14.785543 0.4730898 -0.8540504 0.0037986 7.690300 0.0000237 -0.1114750
14.0 114.0000 11.902606 10.9516557 12.853556 0.4829718 2.0973939 0.0039589 7.689393 0.0001490 0.2737845
12.0 115.0000 11.512317 10.5438343 12.480800 0.4918763 0.4876828 0.0041063 7.690422 0.0000084 0.0636647
12.0 122.0000 8.780295 7.5889743 9.971616 0.6050519 3.2197049 0.0062133 7.687911 0.0005534 0.4207624
13.0 85.0000 23.220983 21.2855757 25.156391 0.9829612 -10.2209833 0.0163986 7.664280 0.0150266 -1.3426122
42.0 89.0000 21.659828 19.9524648 23.367191 0.8671411 20.3401722 0.0127619 7.586574 0.0459711 2.6669272
21.0 83.0000 24.001561 21.9488035 26.054319 1.0425613 -3.0015610 0.0184475 7.688220 0.0014639 -0.3946916
27.0 117.0000 10.731739 9.7160668 11.747412 0.5158432 16.2682605 0.0045162 7.624727 0.0102350 2.1241809
29.0 131.0000 5.267695 3.6337155 6.901675 0.8298710 23.7323047 0.0116884 7.548831 0.0571944 3.1100005
21.0 100.0000 17.366650 16.2027698 18.530531 0.5911154 3.6333498 0.0059303 7.687209 0.0006723 0.4747514
7.0 127.0000 6.828851 5.4053723 8.252329 0.7229610 0.1711492 0.0088708 7.690473 0.0000022 0.0223964
15.0 114.0000 11.902606 10.9516557 12.853556 0.4829718 3.0973939 0.0039589 7.688108 0.0003249 0.4043201
3.0 102.0000 16.586073 15.4975049 17.674640 0.5528653 -13.5860725 0.0051877 7.644650 0.0082108 -1.7745606
4.0 134.0000 4.096829 2.2955143 5.898143 0.9148575 -0.0968287 0.0142050 7.690478 0.0000012 -0.0127051
5.0 127.0000 6.828851 5.4053723 8.252329 0.7229610 -1.8288508 0.0088708 7.689650 0.0002563 -0.2393209
15.0 105.0000 15.415206 14.4170377 16.413374 0.5069529 -0.4152059 0.0043618 7.690438 0.0000064 -0.0542101
4.0 123.0000 8.390006 7.1558657 9.624147 0.6267994 -4.3900062 0.0066679 7.685701 0.0011052 -0.5738328
24.0 78.0000 25.953005 23.5998340 28.306177 1.1951364 -1.9530054 0.0242421 7.689518 0.0008241 -0.2575727
6.0 124.0000 7.999717 6.7207582 9.278676 0.6495620 -1.9997174 0.0071610 7.689489 0.0002465 -0.2614548
10.0 108.0000 14.244339 13.3027019 15.185977 0.4782419 -4.2443393 0.0038818 7.686026 0.0005980 -0.5540158
7.0 114.0000 11.902606 10.9516557 12.853556 0.4829718 -4.9026061 0.0039589 7.684536 0.0008139 -0.6399645
4.0 122.0000 8.780295 7.5889743 9.971616 0.6050519 -4.7802951 0.0062133 7.684816 0.0012200 -0.6247059
6.0 108.0000 14.244339 13.3027019 15.185977 0.4782419 -8.2443393 0.0038818 7.673658 0.0022564 -1.0761378
21.0 118.0000 10.341451 9.2966681 11.386233 0.5306276 10.6585494 0.0047788 7.662317 0.0046513 1.3918927
13.0 108.0000 14.244339 13.3027019 15.185977 0.4782419 -1.2443393 0.0038818 7.690098 0.0000514 -0.1624242
5.0 124.0000 7.999717 6.7207582 9.278676 0.6495620 -2.9997174 0.0071610 7.688248 0.0005547 -0.3922008
9.0 102.0000 16.586073 15.4975049 17.674640 0.5528653 -7.5860725 0.0051877 7.676221 0.0025599 -0.9908637
10.0 105.0000 15.415206 14.4170377 16.413374 0.5069529 -5.4152059 0.0043618 7.683224 0.0010950 -0.7070200
10.0 125.6231 7.366226 6.0107786 8.721674 0.6884091 2.6337739 0.0080432 7.688758 0.0004812 0.3445082
7.0 109.0000 13.854050 12.9225573 14.785543 0.4730898 -6.8540504 0.0037986 7.678858 0.0015259 -0.8946254
8.0 124.0000 7.999717 6.7207582 9.278676 0.6495620 0.0002826 0.0071610 7.690481 0.0000000 0.0000370
9.0 119.0000 9.951162 8.8739776 11.028346 0.5470838 -0.9511617 0.0050798 7.690257 0.0000394 -0.1242304
8.0 110.0000 13.463762 12.5377737 14.389749 0.4702938 -5.4637615 0.0037538 7.683098 0.0009581 -0.7131418
9.0 122.0000 8.780295 7.5889743 9.971616 0.6050519 0.2197049 0.0062133 7.690469 0.0000026 0.0287118
12.0 122.0000 8.780295 7.5889743 9.971616 0.6050519 3.2197049 0.0062133 7.687911 0.0005534 0.4207624
14.0 108.0000 14.244339 13.3027019 15.185977 0.4782419 -0.2443393 0.0038818 7.690466 0.0000020 -0.0318937
47.0 87.0000 22.440406 20.6202698 24.260541 0.9244165 24.5595945 0.0145034 7.538244 0.0764377 3.2230060
29.0 77.0000 26.343294 23.9290733 28.757515 1.2261425 2.6567058 0.0255163 7.688697 0.0016094 0.3506095
45.0 105.0000 15.415206 14.4170377 16.413374 0.5069529 29.5847941 0.0043618 7.470849 0.0326821 3.8626492
20.0 96.0000 18.927806 17.5864623 20.269149 0.6812459 1.0721943 0.0078767 7.690195 0.0000781 0.1402356
33.0 106.0000 15.024917 14.0497190 16.000115 0.4952868 17.9750830 0.0041634 7.610158 0.0115112 2.3466285
33.0 97.0000 18.537517 17.2433404 19.831693 0.6572906 14.4624832 0.0073325 7.638413 0.0132079 1.8910736
15.0 111.0000 13.073473 12.1482682 13.998677 0.4698959 1.9265273 0.0037475 7.689563 0.0001189 0.2514536
27.0 85.0000 23.220983 21.2855757 25.156391 0.9829612 3.7790167 0.0163986 7.686904 0.0020541 0.4964057
22.0 88.0000 22.050117 20.2867099 23.813523 0.8956048 -0.0501167 0.0136134 7.690480 0.0000003 -0.0065739
12.0 105.0000 15.415206 14.4170377 16.413374 0.5069529 -3.4152059 0.0043618 7.687595 0.0004355 -0.4458960
32.0 81.0000 24.782139 22.6102899 26.953988 1.1030457 7.2178612 0.0206501 7.677369 0.0095185 0.9501826
26.0 121.0000 9.170584 8.0198612 10.321307 0.5844329 16.8294160 0.0057970 7.620000 0.0140960 2.1988672
29.0 108.0000 14.244339 13.3027019 15.185977 0.4782419 14.7556607 0.0038818 7.636462 0.0072282 1.9260640
23.0 106.0000 15.024917 14.0497190 16.000115 0.4952868 7.9750830 0.0041634 7.674736 0.0022659 1.0411389
29.0 92.0000 20.488961 18.9448765 22.033046 0.7842148 8.5110388 0.0104377 7.672432 0.0065522 1.1146243
29.0 112.0000 12.683184 11.7540290 13.612339 0.4719022 16.3168162 0.0037795 7.624381 0.0086041 2.1297331
14.0 122.0000 8.780295 7.5889743 9.971616 0.6050519 5.2197049 0.0062133 7.683726 0.0014546 0.6821295
14.0 96.0000 18.927806 17.5864623 20.269149 0.6812459 -4.9278057 0.0078767 7.684451 0.0016490 -0.6445227
23.0 82.0000 24.391850 22.2797461 26.503954 1.0727023 -1.3918499 0.0195296 7.689994 0.0003340 -0.1831229
0.0 134.0000 4.096829 2.2955143 5.898143 0.9148575 -4.0968287 0.0142050 7.686287 0.0020819 -0.5375539
4.0 129.0000 6.048273 4.5216627 7.574883 0.7753399 -2.0482730 0.0102028 7.689437 0.0003708 -0.2682145
2.0 128.0000 6.438562 4.9641036 7.913020 0.7488527 -4.4385619 0.0095176 7.685581 0.0016219 -0.5810137
3.0 125.0000 7.609428 6.2838548 8.935002 0.6732367 -4.6094285 0.0076926 7.685206 0.0014086 -0.6028253
8.0 100.0000 17.366650 16.2027698 18.530531 0.5911154 -9.3666502 0.0059303 7.668715 0.0044681 -1.2238928
19.0 109.0000 13.854050 12.9225573 14.785543 0.4730898 5.1459496 0.0037986 7.683932 0.0008601 0.6716754
14.0 109.0000 13.854050 12.9225573 14.785543 0.4730898 0.1459496 0.0037986 7.690475 0.0000007 0.0190501
6.0 116.0000 11.122028 10.1318833 12.112173 0.5028781 -5.1220283 0.0042920 7.683989 0.0009638 -0.6687187
3.0 112.0000 12.683184 11.7540290 13.612339 0.4719022 -9.6831838 0.0037795 7.667267 0.0030302 -1.2638861
9.0 123.0000 8.390006 7.1558657 9.624147 0.6267994 0.6099938 0.0066679 7.690388 0.0000213 0.0797344
7.0 111.0000 13.073473 12.1482682 13.998677 0.4698959 -6.0734727 0.0037475 7.681357 0.0011819 -0.7927201
8.0 114.0000 11.902606 10.9516557 12.853556 0.4829718 -3.9026061 0.0039589 7.686714 0.0005157 -0.5094289
20.0 103.0000 16.195784 15.1406420 17.250925 0.5358888 3.8042164 0.0048740 7.686898 0.0006045 0.4968138
5.0 115.0000 11.512317 10.5438343 12.480800 0.4918763 -6.5123172 0.0041063 7.679986 0.0014900 -0.8501519
7.0 105.0000 15.415206 14.4170377 16.413374 0.5069529 -8.4152059 0.0043618 7.672944 0.0026442 -1.0987059
7.0 103.0000 16.195784 15.1406420 17.250925 0.5358888 -9.1957836 0.0048740 7.669525 0.0035319 -1.2009286
10.0 114.0000 11.902606 10.9516557 12.853556 0.4829718 -1.9026061 0.0039589 7.689586 0.0001226 -0.2483578
11.0 122.0000 8.780295 7.5889743 9.971616 0.6050519 2.2197049 0.0062133 7.689260 0.0002630 0.2900789
12.0 110.0000 13.463762 12.5377737 14.389749 0.4702938 -1.4637615 0.0037538 7.689951 0.0000688 -0.1910533
8.0 120.0000 9.560873 8.4482829 10.673463 0.5650659 -1.5608728 0.0054192 7.689877 0.0001133 -0.2038989
8.0 125.0000 7.609428 6.2838548 8.935002 0.6732367 0.3905715 0.0076926 7.690443 0.0000101 0.0510793
14.0 112.0000 12.683184 11.7540290 13.612339 0.4719022 1.3168162 0.0037795 7.690052 0.0000560 0.1718759
10.0 114.0000 11.902606 10.9516557 12.853556 0.4829718 -1.9026061 0.0039589 7.689586 0.0001226 -0.2483578
13.0 111.0000 13.073473 12.1482682 13.998677 0.4698959 -0.0734727 0.0037475 7.690479 0.0000002 -0.0095898
11.0 119.0000 9.951162 8.8739776 11.028346 0.5470838 1.0488383 0.0050798 7.690208 0.0000479 0.1369878
11.0 108.0000 14.244339 13.3027019 15.185977 0.4782419 -3.2443393 0.0038818 7.687878 0.0003494 -0.4234853
9.0 119.0000 9.951162 8.8739776 11.028346 0.5470838 -0.9511617 0.0050798 7.690257 0.0000394 -0.1242304
15.0 121.0000 9.170584 8.0198612 10.321307 0.5844329 5.8294160 0.0057970 7.682059 0.0016913 0.7616492
11.0 118.0000 10.341451 9.2966681 11.386233 0.5306276 0.6585494 0.0047788 7.690373 0.0000178 0.0859995
13.0 119.0000 9.951162 8.8739776 11.028346 0.5470838 3.0488383 0.0050798 7.688180 0.0004048 0.3982059
44.0 97.0000 18.537517 17.2433404 19.831693 0.6572906 25.4624832 0.0073325 7.527916 0.0409401 3.3294027
28.0 110.0000 13.463762 12.5377737 14.389749 0.4702938 14.5362385 0.0037538 7.638069 0.0067819 1.8973008
4.0 111.0000 13.073473 12.1482682 13.998677 0.4698959 -9.0734727 0.0037475 7.670102 0.0026379 -1.1842852
3.0 136.0000 3.316251 1.4000461 5.232456 0.9732084 -0.3162509 0.0160748 7.690456 0.0000141 -0.0415354
15.0 101.0000 16.976361 15.8514566 18.101266 0.5713203 -1.9763614 0.0055398 7.689513 0.0001857 -0.2581904
2.0 113.0000 12.292895 11.3551157 13.230674 0.4762824 -10.2928949 0.0038500 7.664244 0.0034881 -1.3435154
11.0 102.0000 16.586073 15.4975049 17.674640 0.5528653 -5.5860725 0.0051877 7.682752 0.0013881 -0.7296313
4.0 118.0000 10.341451 9.2966681 11.386233 0.5306276 -6.3414506 0.0047788 7.680523 0.0016465 -0.8281257
4.0 130.0000 5.657984 4.0781656 7.237803 0.8023635 -1.6579842 0.0109264 7.689796 0.0002605 -0.2171869
21.0 103.0000 16.195784 15.1406420 17.250925 0.5358888 4.8042164 0.0048740 7.684767 0.0009640 0.6274094
10.0 128.0000 6.438562 4.9641036 7.913020 0.7488527 3.5614381 0.0095176 7.687326 0.0010442 0.4661970
5.0 129.0000 6.048273 4.5216627 7.574883 0.7753399 -1.0482730 0.0102028 7.690207 0.0000971 -0.1372678
23.0 91.0000 20.879250 19.2816314 22.476869 0.8114038 2.1207499 0.0111740 7.689361 0.0004362 0.2778414
5.0 128.0000 6.438562 4.9641036 7.913020 0.7488527 -1.4385619 0.0095176 7.689966 0.0001704 -0.1883097
6.0 108.0000 14.244339 13.3027019 15.185977 0.4782419 -8.2443393 0.0038818 7.673658 0.0022564 -1.0761378
15.0 108.0000 14.244339 13.3027019 15.185977 0.4782419 0.7556607 0.0038818 7.690340 0.0000190 0.0986368
8.0 107.0000 14.634628 13.6783551 15.590901 0.4856751 -6.6346282 0.0040034 7.679589 0.0015075 -0.8660743
9.0 121.0000 9.170584 8.0198612 10.321307 0.5844329 -0.1705840 0.0057970 7.690474 0.0000014 -0.0222879
6.0 121.0000 9.170584 8.0198612 10.321307 0.5844329 -3.1705840 0.0057970 7.687990 0.0005003 -0.4142564
7.0 124.0000 7.999717 6.7207582 9.278676 0.6495620 -0.9997174 0.0071610 7.690233 0.0000616 -0.1307089
15.0 115.0000 11.512317 10.5438343 12.480800 0.4918763 3.4876828 0.0041063 7.687472 0.0004274 0.4553003
8.0 114.0000 11.902606 10.9516557 12.853556 0.4829718 -3.9026061 0.0039589 7.686714 0.0005157 -0.5094289
10.0 115.0000 11.512317 10.5438343 12.480800 0.4918763 -1.5123172 0.0041063 7.689915 0.0000804 -0.1974258

Regression Model

  • How useful are each of the individual predictors for my model?

    • Use the coefficients and t-tests of the slopes
  • Is my overall model (i.e., the regression equation) useful at predicting the outcome variable?

    • Use the model summary, F-test, and \(R^2\)

Overall Model Significance

  • Our overall model uses an F-test

  • However, we can think about the hypotheses for the overall test being:

    • \(H_0\): We cannot predict the dependent variable (over and above a model with only an intercept)

    • \(H_1\): We can predict the dependent variable ( over and above a model with only an intercept)

  • Generally, this form does not include two tailed tests because the math is squared, so it is impossible to get negative values in the statistical test

F-distribution

F-Statistic, Explained Over Unexplained

  • F-statistics use measures of variance, which are sums of squares divided by relevant degrees of freedom

\[F = \frac{SS_{Explained}/df1 (p-1)}{SS_{Unexplained}/df2(n-p)} = \frac{MS_{Explained}}{MS_{Unexplained}}\]

  • MS explained represents the reduction in error achieved by the model

  • MS unexplained tells us how much variation is left over from the complex model

    • If explained = unexplained, then F=1

    • If explained > then, F >1

    • If explained < unexplained, F < 1

Calculating Mean Squares in R

#use augment to get fitted and resid information
SS_explained <- sum((assump$.fitted - mean(assump$CESD_total))^2)

SS_unexplained <- sum((assump$CESD_total - assump$.fitted)^2)

# calc mse explained
MSE_e = SS_explained/1

#clac mse unexplained
MSE_un= SS_unexplained/265

F=MSE_e/MSE_un
#TSS?

F test

supernova(model1)
 Analysis of Variance Table (Type III SS)
 Model: CESD_total ~ PIL_total

                                SS  df       MS       F   PRE     p
 ----- --------------- | --------- --- -------- ------- ----- -----
 Model (error reduced) |  7929.743   1 7929.743 134.584 .3368 .0000
 Error (from model)    | 15613.882 265   58.920                    
 ----- --------------- | --------- --- -------- ------- ----- -----
 Total (empty model)   | 23543.625 266   88.510                    
  • F(1, 265) = 134.584, p < .001.

    • Because it is significant the model is said to have explanatory power

Effect Size: \(R^2\)

  • Called PRE in book (not common)

  • Coefficient of determination

\[R^2 = 1 - \frac{SS_{\text{error}}}{SS_{\text{tot}}}\] \[R^2 = 1 - \frac{SS_{unexplained}}{SS_{Total}} = \frac{SS_{explained}}{SS_{Total}}\]

  • Standardized effect size

  • Amount of variance explained

    • \(R^2\) of .4 means 40% of variance in the outcome variable (\(Y\)) can be explained by the predictor (\(X\))

Range: 0-1

\(R^2\)

glance(model1) %>%
  knitr::kable()
r.squared adj.r.squared sigma statistic p.value df logLik AIC BIC deviance df.residual nobs
0.3368106 0.334308 7.675957 134.5842 0 1 -922.0236 1850.047 1860.809 15613.88 265 267
  • In our example we get \(R^2\) of .34
    • 34% of variance in depressions scores is explained by meaning in life

\(R^2_{adj}\)

\[R^2_{adj}\]

\[R^2_{adj} = 1 - \frac{SS_{unexplained}}{SS_{Total}} = \frac{SS_{explained}(n-K)}{SS_{Total}(n-1)}\] where:

n = Sample size

K = # of predictors

Model conditions

Assumptions

  1. Linearity: There is a linear relationship between the response and predictor variable

  2. Constant Variance: The variability of the errors is equal for all values of the predictor variable

  3. Normality: The errors follow a normal distribution.

  4. Independence: The errors are independent from each other.

Assumptions: Linearity

  • Can use a scatter plot between two variables but common to use residuals versus fits plot

❌ Violation: Nonlinear pattern

Assumptions: Normality of Errors

✅:Points fall along a straight diagonal line on the normal quantile plot.

Assumptions: Equal Variances

  • Constant error
    • No correlation between predictor and residuals
  • What are we looking for?
    • Random variation above and below 0
    • No patterns
    • Width of the band of points is constant

Assumptions: Equal Variances

  • Good

✅ There is no distinguishable pattern or structure. The residuals are randomly scattered.

Assumptions: Equal Variances

  • Bad

✅ There is a distinguishable pattern or structure.

Assumption: Independence

  • Let’s pretend this one is met 😀
  • We can often check the independence assumption based on the context of the data and how the observations were collected.

easystats: Performance

performance::check_model(model1, check=c("normality", "linearity", "homogeneity", "qq"))

easystats: Performance

  • Check model assumptions with tests
performance::check_normality(model1) # check normal
Warning: Non-normality of residuals detected (p < .001).
performance::check_heteroscedasticity(model1) # check non-constant variance
Warning: Heteroscedasticity (non-constant error variance) detected (p < .001).

Assumption violations: What can be done?

  • Non-linearity?

    • Non-linear regression

      • Polynomials (e.g., \(x^2\))
  • Non-normality

    • Transformations (e.g., log)
  • Heteroskedasticity

    • Use robust SEs

Reporting

  • report function in easystats is greatest thing ever!
report(model1)
We fitted a linear model (estimated using OLS) to predict CESD_total with
PIL_total (formula: CESD_total ~ PIL_total). The model explains a statistically
significant and substantial proportion of variance (R2 = 0.34, F(1, 265) =
134.58, p < .001, adj. R2 = 0.33). The model's intercept, corresponding to
PIL_total = 0, is at 56.40 (95% CI [49.01, 63.78], t(265) = 15.03, p < .001).
Within this model:

  - The effect of PIL total is statistically significant and negative (beta =
-0.39, 95% CI [-0.46, -0.32], t(265) = -11.60, p < .001; Std. beta = -0.58, 95%
CI [-0.68, -0.48])

Standardized parameters were obtained by fitting the model on a standardized
version of the dataset. 95% Confidence Intervals (CIs) and p-values were
computed using a Wald t-distribution approximation.