Monsters, Models, and Normal Distributions

Princeton University

Jason Geller, PH.D.(he/him)

2023-10-02

Announcements

  • Gavin Simpson will be here tomorrow giving a talk on non-linearity in modeling and generalized additive models (should be introductory)

  • I would like you to send me a description of the paper and data you want to re-analyze by end of the month

  • Readings

    • Don’t feel like you have to complete all the code and questions from textbook

      • At the bare minimum, I just want you to read the chapters
  • We have class on Wednesday, but no lab

  • No webr in slides yet (but notes on website do)

Outline

  • Thinking about models

  • The normal distribution

  • Z-scores

Packages

library(grateful)
pkgs <- cite_packages(output = "table", out.dir = ".")

pkgs
      Package Version                                       Citation
1        base   4.2.2                                          @base
2     cowplot   1.1.1                                       @cowplot
3  datawizard 0.8.0.4                                    @datawizard
4   easystats 0.6.0.8                                     @easystats
5      ggdist   3.2.0                                        @ggdist
6       knitr    1.41             @knitr2014; @knitr2015; @knitr2022
7      pacman   0.5.1                                        @pacman
8   rmarkdown    2.14 @rmarkdown2018; @rmarkdown2020; @rmarkdown2022
9   supernova   2.5.6                                     @supernova
10  tidyverse   1.3.2                                     @tidyverse
11 tigerstats   0.3.2                                    @tigerstats

What is a statistical model?




  • Statistical modeling = “making models of distributions

What is a model?

Models are simplifications of things in the real world

What is a model?

Distributions

Basic Structure of a Statistical Model

\[data = model + error\]

  1. Data

  2. Model

    • Use our model to predict the value of the data for any given observation:

      \[\widehat{data_i} = model_i\]

  3. Error (predicted - observed)

\[error_i = data_i - \widehat{data_i}\]

Models as Monsters

  • The Golem of Prague
    • The golem was a powerful clay robot
    • Brought to life by writing emet (“truth”) on its forehead
    • Obeyed commands literally
    • Powerful, but no wisdom
    • In some versions, Rabbi Judah Loew ben Bezalel built a golem to protect
      • But he lost control, causing innocent deaths

Statistical golems

  • Statistical (and scientific) models are our golems
    • We build them from basic parts
    • They are powerful—we can use them to understand the world and make predictions
    • They are animated by “truth” (data), but they themselves are neither true nor false
    • The model describes the golem, not the world
      • The model doesn’t describe the world or tell us what scientific conclusion to draw—that’s on us
    • We need to be careful about how we build, interpret, and apply models!

Choosing a Statistical Model

  • Cookbook approach
    • Do Smarties make us smarter?
      • Take 200 7-year-olds
        • Randomly assign to 2 groups
          • Control: Normal breakfast
          • Treatment: Normal breakfast + 1 packet of Smarties
          • Outcome: Age-appropriate general reasoning test

Choosing a Statistical Model

  • Cookbook approach

    • Every one of these tests is the same model

    • The general linear model (GLM)

  • The cookbook approach makes it hard to think clearly about relationship between our question and the statistics

The General Linear Model

  • General mathematical framework

    • Regression all the way down

    • Highly flexible

      • Can fit qualitative (categorical) and quantitative predictors
    • Easy to interpret

    • Helps understand interrelatedness to other models

    • Easy to build to more complex models

The General Linear Model

  • Modeling comparison approach

  • Think in terms of models and not tests

  • Model is determined by question, not data

  • What do alternative models say about the world?

  • Let’s build a model for this experiment

A simple model

  • General reasoning scores
# The Data
control_group= c(92, 97, 123, 101, 102, 126, 107, 81, 90, 93, 118, 105, 106, 102, 92, 127, 107, 71, 111, 93, 84, 97, 85, 89, 91, 75, 113, 102, 83, 119, 106, 96, 113, 113, 112, 110, 108, 99, 95, 94, 90, 97, 81, 133, 118, 83, 94, 93, 112, 99, 104, 100, 99, 121, 97, 123, 77, 109, 102, 103, 106, 92, 95, 85, 84, 105, 107, 101, 114, 131, 93, 65, 115, 89, 90, 115, 96, 82, 103, 98, 100, 106, 94, 110, 97, 105, 116, 107, 95, 117, 115, 108, 104, 91, 120, 91, 133, 123, 96, 85)


treat_group= c(99, 114, 106, 105, 96, 109, 98, 85, 104, 124, 101, 119, 86, 109, 118, 115, 112, 100, 97, 95, 112, 96, 103, 106, 138, 100, 114, 111, 96, 109, 132, 117, 111, 104, 79, 127, 88, 121, 139, 88, 121, 106, 86, 87, 86, 102, 88, 120, 142, 91, 122, 122, 115, 95, 108, 106, 118, 104, 125, 104, 126, 94, 91, 159, 104, 114, 120, 103, 118, 116, 107, 111, 109, 142, 99, 94, 111, 115, 117, 103, 94, 129, 105, 97, 106, 107, 127, 111, 121, 103, 113, 105, 111, 97, 90, 140, 119, 91, 101, 92)

df <- tibble(treatment=treat_group, control=control_group)

df_candy <- df %>%
  pivot_longer(treatment:control, names_to = "cond", values_to = "values")

Building a Model - Notation

  • Small Roman letters

    • Individual observed data points

      • \(y_1\), \(y_2\), \(y_3\), \(y_4\), …, \(y_n\)

        • The scores for person 1, person 2, person 3, etc.
      • \(y_i\)

        • The score for the “ith” person
  • Big Roman letters

    • A “random variable”

    • The model for data we could observe, but haven’t yet

  • \(Y_1\)

    • The model for person 1
    • The yet-to-be-observed score of person 1

Building a Model - Notation

  • Greek letters

    • Population parameters

    • Unobservable parameters

  • μ

    • mu

      • “mew” - Used to describe means
  • σ

    • Sigma

    • Used to describe a standard deviation

Building a Model - Notation

  • Roman letters

    • Sample specific statistics

      • \(\bar{X}\) - sample mean

      • s - standard deviation from the sample

    • Data estimates

      • \(b_0\)

A simple model

  • Null or empty model

\[ Y_i = \beta_0 + \epsilon \]

\[ Y_i= b_0 + e \]

  • Makes the same prediction for each observation

A Simple Model: Data

Scores
101
114
131
9

Figuring out \(b_0\)

  • Goal of any model is to find an estimator that minimizes the error
    • How we define error will determine the best estimator

Types of Errors

Sum of errors (residuals)

  • The sum of the differences between observed values and predicted values. In an ideal case with no bias, this would be zero.

\[SE = \sum_{i=1}^{n} (y_i - \hat{y}_i)\]

Sum of absolute errors

  • Measures the total absolute difference between observed and predicted values. It gives a sense of the average magnitude of errors without considering direction

\[SAE = \sum_{i=1}^{n} |y_i - \hat{y}_i|\]

  • Median is best estimate for \(b_0\)

Sum of squares (SS)

  • This measures the total squared difference between observed and predicted values

  • Most commonly used in regression analysis (what we will be using)

\[SS = \sum_{i=1}^{n} (y_i - \hat{y}_i)^2\]

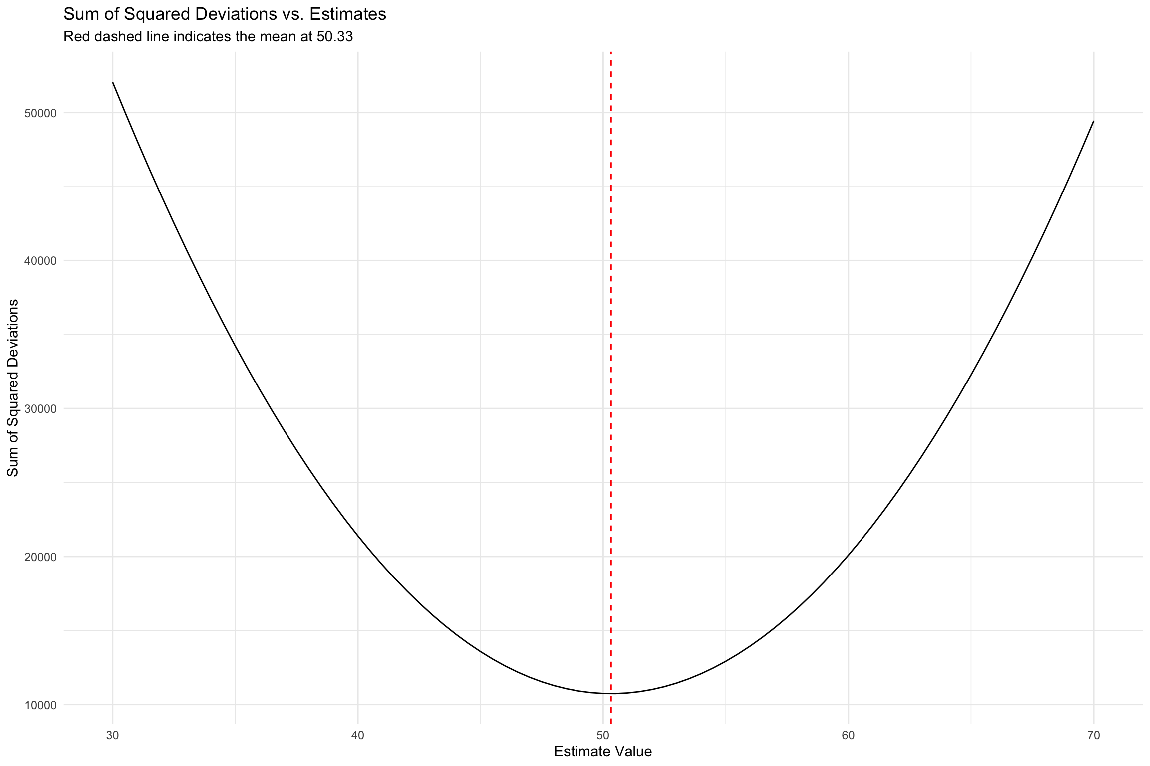
The mean

  • Mean is the best estimator of \(b_0\)

    \[\frac{1}{n} \sum_{i=i}^{n} x_{i}\]

Mean has really nice proprieties: \[SE = \sum_{i=1}^{n} (y_i - \hat{y}_i)\]

  • SSR minimized at mean

SSR minimized at mean

Describing error

  • We should have some overall description of the accuracy of model’s predictions

    • SSR

      • Standard deviation

        \[ s^2 = \text{MSE} = \frac{1}{n-p} \sum_{i=1}^{n} (Y_i - \hat{Y}_i)^2 \]

\[ \text{SD} = \sqrt{\text{MSE}} \]

Statistical Modeling: A Concrete Example

  • Let’s look at general reasoning scores
  df_candy  %>%
  ggplot(aes(x=values)) +
  geom_dotsinterval()

Building a Model - Concrete example

\[ Y_i = b_0 + e \]

  • What is the overall mean of the dataset?
# calcuate the mean

Building a Model - Concrete example

  • lm function in R can fit an empty model
null_model <- lm(values~NULL, data=df_candy)

null_model

Call:
lm(formula = values ~ NULL, data = df_candy)

Coefficients:
(Intercept)  
      104.9  
  • \(b_0\) = Intercept = Estimate = Mean

Building a Model - Concrete example

  • broom is a helper package that provides us with lots of useful functions to get things like residuals, predicted values, etc)
library(broom)

null_model <- lm(values~NULL, data=df_candy)

null_model %>%
  broom::augment()
# A tibble: 200 × 7
   values .fitted   .resid    .hat .sigma     .cooksd .std.resid
    <dbl>   <dbl>    <dbl>   <dbl>  <dbl>       <dbl>      <dbl>
 1     99    105.  -5.92   0.00500   14.6 0.000839      -0.409  
 2     92    105. -12.9    0.005     14.5 0.00399       -0.891  
 3    114    105.   9.08   0.005     14.6 0.00197        0.626  
 4     97    105.  -7.92   0.005     14.6 0.00150       -0.547  
 5    106    105.   1.08   0.005     14.6 0.0000276      0.0741 
 6    123    105.  18.1    0.005     14.5 0.00781        1.25   
 7    105    105.   0.0750 0.005     14.6 0.000000134    0.00517
 8    101    105.  -3.92   0.005     14.6 0.000368      -0.271  
 9     96    105.  -8.92   0.005     14.6 0.00190       -0.616  
10    102    105.  -2.92   0.005     14.6 0.000205      -0.202  
# ℹ 190 more rows

Building a model - Concrete example

  • Can get SS a few different ways
null_model %>% 
  broom::augment()%>%
  # take the sum of the resid column squared
  summarise(SS=(sum(.resid^2)))
# A tibble: 1 × 1
      SS
   <dbl>
1 42044.

Building a model - Concrete Example

Building a model - Concrete example

aov(lm(null_model))
Call:
   aov(formula = lm(null_model))

Terms:
                Residuals
Sum of Squares   42043.87
Deg. of Freedom       199

Residual standard error: 14.53533
library(supernova)

supernova(null_model)
 Analysis of Variance Table (Type III SS)
 Model: values ~ NULL

                                SS  df      MS   F PRE   p
 ----- --------------- | --------- --- ------- --- --- ---
 Model (error reduced) |       --- ---     --- --- --- ---
 Error (from model)    |       --- ---     --- --- --- ---
 ----- --------------- | --------- --- ------- --- --- ---
 Total (empty model)   | 42043.875 199 211.276            

Building a model - concrete example

  • Mean squared error (MSE)
null_model %>% 
  broom::augment()%>%
  summarise(SS=(sum(.resid^2)), MSE_v=SS/(199), MSE_sd= sqrt(MSE_v)) %>% knitr::kable()
SS MSE_v MSE_sd
42043.88 211.2758 14.53533
supernova(null_model) 
 Analysis of Variance Table (Type III SS)
 Model: values ~ NULL

                                SS  df      MS   F PRE   p
 ----- --------------- | --------- --- ------- --- --- ---
 Model (error reduced) |       --- ---     --- --- --- ---
 Error (from model)    |       --- ---     --- --- --- ---
 ----- --------------- | --------- --- ------- --- --- ---
 Total (empty model)   | 42043.875 199 211.276            

Building a model - Concrete example

  • Predictions from the model
null_model %>%
  augment() %>%

ggplot(aes(x = .fitted, y=values)) + 
  geom_point() +
  theme_minimal(base_size = 16) + 
  labs(y = "Observed", x = "Predicted") 

A More Complex Model

  • Do you think the empty model is a good model?

What Makes a Model “Good”

  1. We want it to describe our data well

  2. We want it to generalize to new datasets

    • We want error to be as small as possible

Taken from Poldrack (2023)

Can a Model Be Too Good?

  • Yes!

    • Overfitting

      • A model with little to no error will not generalize to new datasets

Normal distribution

Normal distribution

  • Sometimes called a Gaussian distribution
  • If we assume a variable is at least normally distributed can make many inferences!
  • Most of the statistical models assume normal distribution
  • Error in linear models is assumed to distributed as normal

Normal distribution

  • Normal(μ, σ)

    • Parameters:

      • \(\mu\) = Mean

      • \(\sigma\) Standard deviation

        • On average, how far is each point from the mean (spread)?

Building a Model - Normal Distribution

  • Properties of a normal distribution

    • Shape
      • Unimodal
      • Symmetric
      • Asymptotic

Building a Model - Normal Distribution

  • The PDF of a normal distribution is given by:

\(f(x) = \frac{1}{\sqrt{2\pi \sigma}}\exp\left[-\frac{(x-\mu)^2}{2\sigma^2}\right]\)

Normal Distribution

  • Skew

Normal Distribution

  • Peakedness

Normal Distribution

  • \(Y_1\)\(N(\mu, \sigma)\)

    • \(Y_1\) ∼ Normal(100, 15)

    • \(Y_2\) ∼ Normal(100, 15)

    • \(Y_n\) ∼ Normal(100, 15)

  • Or for all observations,

    • \(Y_i\) ∼ Normal(100, 15)

Normal Distribution

  • Everyone’s score comes from the same distribution

  • The average score should be around 100

  • Scores should be spread out by 15

  • Scores should follow bell-shaped curve

Probability and Standard Normal Distribution: Z-Scores

\[Z(x) = \frac{x - \mu}{\sigma}\]

  • Z-score /standard score tells us how far away any data point is from the mean, in units of standard deviation

Standard Normal Distribution

  • Properties of standard normal
    • Empirical Rule
      • 68.27% of the data falls within one standard deviation (sigma) of the mean
      • 95.45% falls within two sigma
      • 99.73% falls within three sigma

Z tables

  • NO MORE TABLES

Using R

  • dnorm() : Z-score to density (height) (PDF)
  • pnorm(): Z-score to area (CDF)
  • qnorm(): area to Z-score

Using R

  • pnorm function: Z-score to area (CDF)

\[ P(X <= x) \]

If you calculated a Z-score you can find the probability of a Z-score less than or equal (lower.tail=TRUE) or greater than (lower.tail=FALSE)

Using R: pnorm

mu <- 70
sigma <- 10
X <- 80
  1. What is the z-score?
# 
  1. What percentage is below this z-score?
# 
  • Above
# 

Using R: pnorm

  • Calculate z-score
mu <- 100
sigma <- 15
X <- 55
  • Percentage below IQ score of 55?
  • Percentage above IQ score of 55?
#

Using R: pnorm

  • Percentage between IQ score of 120 and 159?
mu <- 100
sigma <- 15

Package PnormGC

  • Percentage between IQ score of 120 and 159?
library(tigerstats)

pnormGC(c(120,159), region="between" ,mean=100,sd=15, graph=TRUE)
[1] 0.09116933

Package PnormGC

What about \(P(X \leq 69)\)

pnormGC(bound=69,region="below",
        mean=70,sd=3,graph=TRUE)
[1] 0.3694413

Using R: qnorm

  • qnorm(): area to z-scores

  • What is the score for which 5% lies above?

Practice pnorm

Suppose that BMI measures for men age 60 in a Heart Study population is normally distributed with a mean (μ) = 29 and standard deviation (σ) = 6. You are asked to compute the probability that a 60 year old man in this population will have a BMI less than 30.

  • What is the z-score?

  • What is the probability a 60 year old man in this population will have a BMI between 30 and 40?

# 

Practice: qnorm

Suppose that SAT scores are normally distributed, and that the mean SAT score is 1000, and the standard deviation of all SAT scores is 100. How high must you score so that only 10% of the population scores higher than you?

# 

Z-scores in practice

  • Standardization
    • Scaling your measures so they are are comparable
    • Does not change anything about the data!
library(easystats)
x=c(5, 6, 7, 8, 9, 10, 15, 16)
datawizard::standardize(x)
[1] -1.1150879 -0.8672906 -0.6194933 -0.3716960 -0.1238987  0.1238987  1.3628852
[8]  1.6106825
(center: 9.5, scale = 4)

Standardized Scores

  • A standardized score is a Z-score that has been transformed to have a \(\mu\) and \(\sigma\) different from standard normal

    • IQ

      • \(\mu = 100\) \(\sigma = 15\)
    • SAT

      • \(\mu =500\) \(\sigma = 100\)
    • T-score

      • \(\mu = 50\) \(\sigma = 10\)
  • New score = new sd(Z) + New mean